| |
|
 |
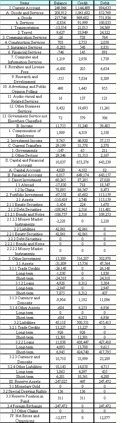
In 2006, China's economy kept a fast growth and the opening-up further deepened. The reform of RMB exchange rate forming mechanism is progressing steadily. The elasticity of exchange rate improved significantly. The double favorable balance still continued. In addition, favorable balance of current account amounted to USD 249.9 billion; and the surplus of capital and financial account reached USD10 billion. At the end of 2006, foreign exchange reserve was up to USD 1.0663 trillion, an increase of USD 247.5 billion from a year earlier.
Balance of Payments of China, 2006 (USD in Millions)

|
|
|
|
|
If this report could not still meet your requirement, or
you have any comments or suggestions on it, please leave a
message to us.
|
2005-2007 www.researchinchina.com All Rights Reserved
| |
|
 |
| |
|
In 2006, China's economy kept a fast growth and the opening-up further deepened. The reform of RMB exchange rate forming mechanism is progressing steadily. The elasticity of exchange rate improved significantly. The double favorable balance still continued. In addition, favorable balance of current account amounted to USD 249.9 billion; and the surplus of capital and financial account reached USD10 billion. At the end of 2006, foreign exchange reserve was up to USD 1.0663 trillion, an increase of USD 247.5 billion from a year earlier.
Balance of Payments of China, 2006 (USD in Millions)

|
|
|
|
|
2005-2006 www.researchinchina.com All Rights Reserved |
|
| |
|
 |
| |
|
1 Balance of Payments Overview 1.1 Main Characteristics of Balance of Payments 1.2 Operational Appraisal of Balance of Payments2 Main Items of Balance of Payments 2.1Cargo Trade 2.2 Service Trade 2.3 Direct Investment 2.4 Securities Investment 2.5 Liabilities 3 Foreign Exchange Market Operation and RMB Exchange Rate 3.1 Reform and Construction of Foreign Exchange Market 3.2 Trend of Exchange Rate of RMB for Main Currencies 3.3 Foreign Exchange Trade among Banks 4 Macro-economic Environment and Related Policies Adjustment 4.1 Global Economic Situation 4.2 Domestic Economic Situation 4.3 Adjustment in State's Policies for Foreign-related Economy 5 Situation Prospect and Policy Tendency of Balance Tendency 5.1 Situation Prospect 5.2 Policy Tendency
|
|
|
|
|
2005-2006 www.researchinchina.com All Rights Reserved |
|
| |
|
 |
| |
|
Trend for Trading Price of RMB against USD, 2006 Trend for Trading Price of RMB against Euro, Yen, HKD, Pound, 2006 One-year USD Quoted Price of Inter-bank Foreign Exchange Futures Market, 2006 Balance of Payments of China, 2006 Structure of Favorable Balance of Payments, 2001-2006 Membership Structure of Inter-bank Spot Foreign Exchange Market Inter-bank Foreign Currency to Foreign Currency Trading Market, 2006
|
2005-2008 www.researchinchina.com All Rights Reserved
|